书籍简介
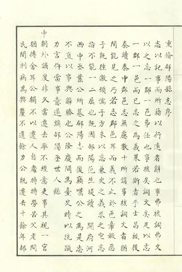
《重修郃陽縣誌》由叶子循纂修,成书于民国年间(1912–1949),为地方志类文献,属抄本版本。该志详载陕西省郃阳县(今合阳县)的地理、建置、风俗、人物、艺文等内容,体例严谨,资料翔实,尤其注重保存当地历史沿革与人文风貌。书中收录了大量明清以来的碑刻、传记、赋咏及社会经济状况记录,是研究陕东地区地方政治、文化、民俗的重要史料。因其为抄本流传,版本稀见,更具文献价值,对地方史研究和乡土文化传承具有重要意义。
— 此简介由AI撰写,仅供参考。

责任者:叶子循
出版者:
出版时间:民國間[1912-1949]
版本:抄本
总册数:4冊
文件格式:PDF
© 版权声明
THE END

![《鹽山新志》编撰:贾恩绂 民國5年[1916] PDF下载-汉笺公版书](/wp-content/uploads/replace/abfd108c3819021366b68347f51d5c5e.webp)
![《盛湖志》编撰:仲廷机 民國14年[1925] PDF下载-汉笺公版书](/wp-content/uploads/replace/337126aa46d3d7a233bf1f521938402f.webp)
![《仙遊縣誌》编撰:胡启植 清同治12年[1873] PDF下载-汉笺公版书](/wp-content/uploads/replace/a5dc133c07651ec07b366490c875e7ea.webp)
![《西行日記》编撰:朱沄 清道光13年[1833] PDF下载-汉笺公版书](/wp-content/uploads/replace/b0feb3c1c2e947d7291aff8cf1e72e32.webp)
![《濟寧直隸州志》编撰:胡德琳 蓝应桂 清乾隆50年[1785] PDF下载-汉笺公版书](/wp-content/uploads/replace/355b90b5cfaca0f4990def081778fafb.webp)
![《河南通志》编撰:田文镜 清光緒28年[1902] PDF下载-汉笺公版书](/wp-content/uploads/replace/20b03b3c8000b7e15a03409652c6e8dd.webp)


